- Home
- /
- News
- /
- Industry News
Three Phase Induction Motors

They run directly off of the electric distribution grid
Low cost

Rugged and suitable for hazardous environments
Due to not having brushes, they are long lasting and require minimal maintenance
However, one of the main drawbacks of the 3 phase induction motor is that they have a small, load-dependent speed range. This limits the types of applications induction motors can be used for.
But what causes this to be a drawback for induction motors?
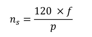
The synchronous speed of induction motors is dependent on the number of poles of the motor and the frequency of the supply power. Simply put

Formula
where ns is the synchronous speed, f is the supply frequency and p is the number of motor poles. The actual motor speed will then be slightly less than the synchronous speed and will be dependent on the motor load.
For a given motor, the number of poles is fixed so the only way to change speeds is to change the frequency of the power supply to the motor. Because electrical grids run at a fixed frequency, induction motors generally run at a constant speed, with only slight variation as the load changes.
A variety of methods have been developed for speed control of AC induction motors but one of the most cost effective ones is the open loop, “V/f” control.

The ratio of voltage to frequency (or V/f) is used because the flux in the air gap of an induction motor is proportional to V/f. So in order to maintain constant flux, the V/f control will change the voltage proportionally to the frequency.
For example, a 230 V, 60 Hz motor has a V/f ratio of 3.83. If it is a 2 pole motor, its synchronous speed is 3600 RPM. In order to cut the synchronous speed in half to 1800 RPM, the control would supply 115 V, 30 Hz, which maintains the V/f ratio of 3.83.

This method of control still allows slight variations of speed due to changing motor loads. Some control manufacturers fix this problem by using a slip compensation feature, which basically estimates how the load effects speed and then increases the power supply frequency to provide even better speed regulation.

For more information on three phase AC Motors, check out our AC motor basics video and our “How to Choose an Electric Motor” series, where we dive into more AC motor specifics.
Newer articles
- Synchronous & Induction Motors: Discovering the Difference (17/02/2018)
- Why Are Gear Reduction Starters Replacing Direct Drive Starters? (19/02/2018)
- Select the right motor for your hydraulic applications (27/02/2018)
- How to select a motor for an industrial application (27/02/2018)
- Everything You Need to Know About Gear Reducers (17/02/2018)
- Harsh Environment IP-66 Motors & Gearmotors (17/02/2018)
- Advantages and disadvantages of different types of gears (01/09/2018)
- How to Select a Gearmotors (01/10/2019)
- AC Motor Manufacturing Process Flow (Electric Motors) (18/02/2018)
- What are Brushless DC Motors (31/05/2019)
Older articles
- Gearbox Motors vs Integrated Gearmotors (16/04/2008)
- AC or DC? brushed DC or brushless DC Gear Motor? (24/04/2008)
- Advantages And Disadvantages of Induction Machines (10/01/2018)
- The Dangers of Deference (01/01/2018)
- How to Select a Gearbox Supplier (11/01/2018)
- Right Angle Speed Reducers Explained (01/01/2018)
- Factors to Consider When You Buy an Electric Motor (17/02/2018)
- DC Motor Manufacturing Process Flow (Electric Motors) (10/02/2018)
- SINGLE-PHASE INDUCTION MOTORS (Electric Motor) (10/02/2018)
- Four tips for Gear Reducers’ Maintenance (06/02/2018)





Join